Electric field intensity is one of the most basic concepts of electromagnetism and sometimes it may appear to be very confusing. But here is the simplest explanation for you, it will help you understand the concept and use it whenever you encounter a problem related to electric field intensity.
Let us just consider a charge q is lying in space. It is an intrinsic property of nature that there exists a field around every charge. Let us draw the field of charge q around it as dots.
Now, consider another point charge q0.
If we place the charge qo in the field of charge q, the
charge q will exert a force on the charge qo and this force is
attractive if both charges are opposite and repulsive if both charges are similar.
This effect is known as Electric field intensity or just field intensity
and we can define it as:
“The force experienced by a unit positive charge when is placed inside the field of another charge”
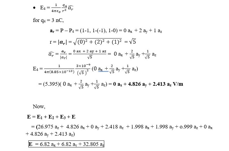
Let’s now solve an example:
Example 2.2 (Engineering Electromagnetics | W.H. Hayt)
This article is written by Umm E Aiman Jalali, one of the contributors at the School of Literature.
